
En 2016/2017, plusieurs herbicides ont été évalués dont quelques spécialités à base de flufénacet qui devraient être homologuées d’ici 2018.
Tableau 1 : Codage, composition et doses des spécialités expérimentées
* : L’alternance de groupes de modes d’action est indispensable afin de prévenir l’apparition d’adventices résistantes.
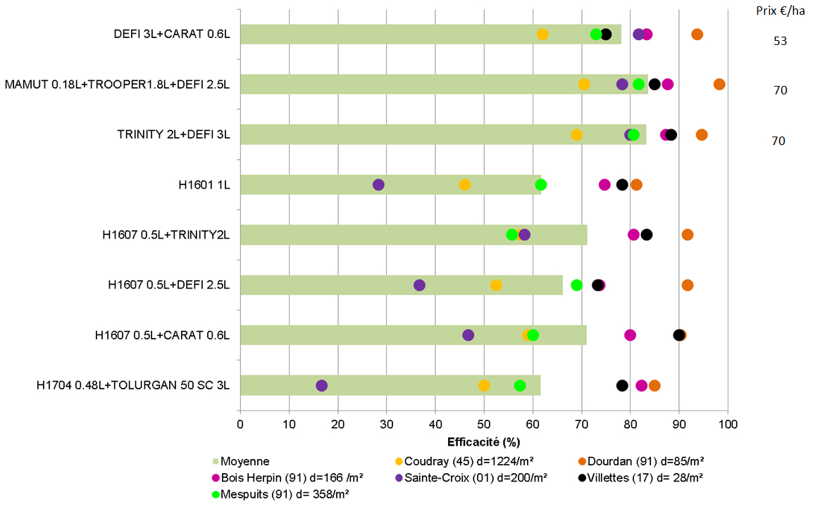
Dans les 6 essais exploitables de cette campagne, l’efficacité moyenne, toutes modalités confondues, est de 72 %, avec cependant un écart de 22 points entre la meilleure modalité et la plus faible.
La référence Défi 3 l + Carat 0,6 l se positionne bien, avec 78 % d’efficacité. Elle est seulement dépassée par les deux associations « renforcées » : Trinity 2 l + Défi 3 l et Mamut 0,18 l + Trooper 1,8 l + Défi 2,5 l, qui atteignent respectivement 83 et 84 % d’efficacité, soit de très bons niveaux pour un passage unique effectué en prélevée.
DES PROJETS PROCHAINEMENT HOMOLOGUÉS MOINS PERFORMANTS
H1601 appliqué seul est légèrement en retrait avec 62 %.
Les quatre mélanges qui apportent 240 g de flufénacet, avec les produits sous encore numérotés H1607 et H1704, affichent de moins bons résultats que les trois associations de référence :
– H1704 0,48 l + Tolurgan 50 SC 3 l est le mélange le moins performant, avec 62 % d’efficacité. Le chlortoluron apporte autant que le picolinafen au sein du H1601.
– H1607 0,5 l + Défi 2,5 l (2000 g de prosulfocarbe) obtient 66 % en moyenne, soit + 4 points par rapport à 1500 g de chlortoluron.
– H1607 0,5 l + Trinity 2 l (500 g de chlortoluron, 80 g de DFF et 600 g de pendimethaline) et H1607 0,5 l + Carat 0,6 l (150 g de flurtamone et 60 g de DFF) atteignent 71 % en moyenne, soit un gain de 10 points par rapport aux apports de picolinafen ou de chlortoluron. Ces associations restent cependant en retrait, notamment par rapport à Défi + Carat.
Dans ces six essais, Défi (3 l) apparaît plus intéressant que 240 g de flufénacet.
Figure 1 : Efficacité des applications de prélevée (6 essais ray-grass 2017) – Prix d’ordre indicatif
DES RÉSULTATS QUI SE CONFIRMENT SUR DEUX ANNÉES CONSÉCUTIVES
La synthèse pluriannuelle regroupe sept essais de 2015/2016 et les six essais de 2016/2017, comparant 5 modalités de prélevée. L’automne 2015 a été sec, et par conséquence, les efficacités des associations de substances actives racinaires s’en sont ressenties. Pour cette campagne 2015/2016, l’efficacité moyenne des cinq modalités s’élève à 60 % (soit – 12 points de moins que la dernière campagne).
On retrouve cependant en tendance des résultats proches entre les automnes 2016 et 2017. Les associations Trinity 2 l + Défi 3 l et Mamut 0,18 l + Trooper 1,8 l + Défi 2,5 l gardent la tête, avec 76 % d’efficacité en moyenne.
Le mélange Défi + Carat est en retrait de 6 points par rapport à ces deux associations, avec un niveau moyen de 70 %. Défi 2,5 l + flufénacet 240 g montre des résultats inférieurs de 10 points par rapport à Défi + Carat (contre un écart de 12 points en 2017). Enfin, le projet H1601 atteint 53 % en pluriannuel, soit 9 points de moins que sur les essais de 2017 seuls.
Figure 2 : Synthèse 2016-2017 des applications de prélevée (13 essais ray-grass) – Prix d’ordre indicatif
Ludovic BONIN (ARVALIS – Institut du végétal)
Lise GAUTELLIER VIZIOZ (ARVALIS – Institut du végétal)


